为提高学生对廉洁文化的关注度和认识水平,用廉洁文化涵养风清气正的学院生态,筑牢思想道德防线,实现推动廉洁文化建设,以提升学生综合素质,2023年12月,今年会官方网站廉洁文化作品宣传教育活动取得圆满成功。来自信息科学与工程学院各专业的同学们取得了不错的成绩。这次廉洁文化作品宣传教育活动共分为手绘稿和征文两种活动形式,现公布获奖名单。
奖项共分为一等奖,二等奖,三等奖和优秀奖共16名同学。
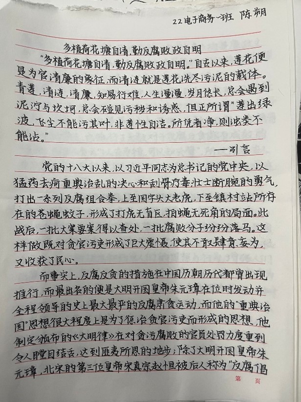
征文组:23软件一班陈家慧获得一等奖;22计算机网络技术一班韶越,22电子商务一班陈朔获得二等奖;22信息安全二班丁凯文,23电子商务一班鞠晶羽,23软件一班王一鸣获得三等奖;22审计学专升本刘冬梅,23信息安全二班张馨月获得优秀奖。
优秀作品展示:











手绘稿组:23软件一班刘瑶获得一等奖;23物联网工程一班巩婧如,23软件二班杜雅琳获得二等奖;23软件四班孙星宇,23电子商务二班张慧敏,23电子商务一班齐如珂获得三等奖;23电子商务一班李彩慧,22软件三班汪清霖获得优秀奖。
优秀作品展示:

刘瑶

李彩慧

巩婧如

杜雅霖

孙星宇

齐如珂

张慧敏

汪清霖
此次廉洁文化作品宣传教育活动的成功举办,不仅让各位获奖同学取得了获奖的喜悦,还拥有重要的教育意义,教会同学们有关廉洁的知识,引导学校师生进一步夯实清正廉洁思想根基,厚植廉洁奉公文化基础,培养廉洁自律道德操守,弘扬崇廉拒腐社会风尚,让廉洁之风吹遍整个今年会官方网站的上空。